Boisés, Biches et faons
Boisés, Biches et faons en 2022-2023
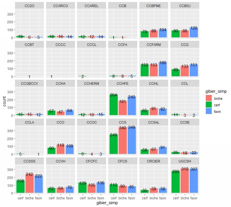
La norme en termes de proportion des prélèvements des cerfs boisés, des biches et des faons est d'un tiers, un tiers, un tiers. L'ensemble des constats de tir et de mortalité révèle une proportion de 0.31, 0.33 et 0.36 pour la saison 2022 (figure 1). Cette répartition diffère d'un conseil cynégétique à l'autre (figure 1).

Figure 1– Nombre d'individus chassés (battue, poussée silencieuse et approche-affût) enregistrés en Wallonie lors de la saison 2022-2023 avec distinction des cerfs (mâles de 1 an et plus), biches (femelles de 1 an et plus) et faons (individus < 1 an, mâles ou femelles)

Figure 2 – Nombre d'individus chassés (battue, poussée silencieuse et approche-affût) enregistrés en Wallonie lors de la saison 2022-2023 avec distinction des cerfs (mâles de 1 an et plus), biches (femelles de 1 an et plus) et faons (individus < 1 an, mâles ou femelles) par conseil cynégétique
Evolution des rapports
Evolution des rapports « boisé/non-boisé » et « biche/non-boisé » depuis 2002
- La norme du rapport boisé / non-boisé est empiriquement fixée à 0.50. Le prélèvement d'un boisé pour deux non-boisés permet le maintien du sexe-ratio de 1 : 1.
- L'évolution de ce rapport a été réalisée par conseil cynégétique (Figure 1). Même si le plan de tir est censé tendre vers un prélèvement équilibré, les conseils montrent des tendances différentes. Plusieurs raisons à cela :
certaines unités de gestion ont des surfaces trop faibles pour contenir une population fermée constituée de mâles et de femelles, ces premiers étant plus mobiles que les secondes,
les plans de tir minimums en cerfs boisés ne sont pas généralisés,
les plans de tirs minimums en cerfs boisés sont moins exigeants que les plans de tir minimums en cerfs non-boisés,
certains conseils sont en phase de colonisation et ne comptent que des mâles (responsables de la dispersion natale chez l'espèce Cerf).

Figure 1- Evolution du rapport boisé / non-boisé tiré à la chasse depuis 2002, la norme = 0.5
- La norme du rapport biche / non-boisé est de l'ordre de 0.5 (voire 0.45). La tendance montre globalement un prélèvement préférentiel du faon par rapport à la biche au sein des non-boisés (Figure 2).
- Ceci pour des raisons éthiques (ne pas laisser de faon orphelin) mais également pour conserver le capital reproducteur.
- Beaucoup d'unités de gestion se voient d'ailleurs imposer un plan de tir minimum en biches en plus du plan de tir minimum en non-boisés lorsque les populations présentent des densités élevées.

Figure 2 - Evolution du rapport biche / non-boisé tiré à la chasse depuis 2002, la norme = 0.5
Dates médianes
Dates médianes des tirs en fonction de la catégorie
- La moitié du tableau 2022-2023 a été réalisée le 13/11/2022.
- La chronologie des tirs diffère en fonction des catégories (cerf boisé, biche et faon).
- Si on considère la date à laquelle 50% des cerfs boisés ont été tirés (valeur médiane), celle-ci intervient 41 jours après l'ouverture (21/09), soit le 1er novembre 2022. Cette date est plus tardive pour les faons (53 jours) et surtout pour les biches (60 jours), soit les 13/11/2022 et 19/11/2022 respectivement (Figure 1).
- Ces valeurs sont identiques, à 1 jour près, à 2021, même si on constate une grande variabilité entre les conseils (Figure 2).
- L'ordre chronologique des tirs peut différer entre ces 3 catégories, et certains conseils semblent chasser plus tôt dans la saison.

Figure 1 – Chronologie des tirs d'animaux de l'espèce cerf en fonction des catégories (cerf boisé, biche et faon) et du temps mesuré en jours de chasse depuis le 21/09/2022 en Wallonie. La représentation en courbe de densité, en boîte à moustache et en fréquence de distribution permet de visualiser au mieux cette chronologie et les différences entre catégories.

Figure 2 - Chronologie des tirs d'animaux de l'espèce cerf en fonction des catégories (cerf boisé, biche et faon) et du temps mesuré en jours de chasse depuis le 21/09/2022 par conseil cynégétique. La représentation en boîte à moustache indique comment se répartissent les prélèvements dans le temps (la valeur médiane correspond au trait noir épais).

